rituel 45 – ln, exp
retrouvez les vidéos sur la fonction ln , la fonction log , la fonction exponentielle
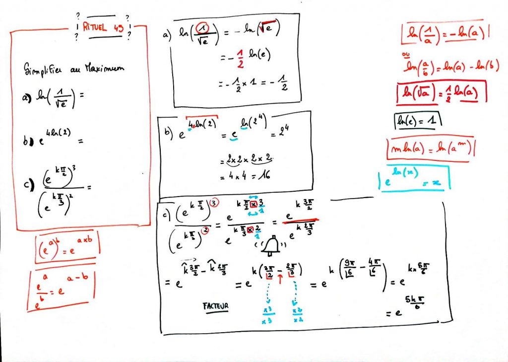
L'énoncé en image

la synthèse en image :

Une question, un problème, un encouragement ?
Laissez nous un message.
En soumettant ce formulaire, j'accepte que les informations saisies dans ce formulaire soient utilisées, exploitées, traitées pour permettre de me recontacter, dans le cadre de la relation qui découle de cette demande d'informations ou de mise en relation.